椭圆曲线
椭圆曲线
下面进行椭圆曲线相关知识的学习(基于crypto hack),中间穿插了一些数论和近世代数的几个知识点。
一. 预备知识
学习的时候碰到了数论和近世代数的几个知识点,因为这两门我都没学完(尤其近世代数,完全没开始看),所有只能求尽量讲清楚吧。
群
近世代数是主要研究代数系统(即非空集合)的学科,我们会在这个非空集合上定义满足一定条件的一种或多种二元运算(代数运算)。群是近世代数里面一个重要的概念。下面放一个课本上的定义。
简单解释一下就是在一个非空集合里定义一个二元运算,这个运算对于这个集合内的元素都满足
(1)结合率 (2)单位元 (3)逆元
其实还有一个封闭性,就是运算结果还是在这个集合里。
举一个例子,对于所有非零有理数(非空集合),和普通乘法(二元运算)构成了一个群,这个群满足结合律(是显然的),有单位元1(任意数与1做这个二元运算都等于它本身,且交换也满足),且对于任意一个a,都有$ \frac{1}{a} $与a做这个二元运算后等于单位元1(交换也满足)
阿贝尔群(Abel 群)
阿贝尔群是在群的基础上加上一个条件得到的,即交换率
普通的群满足结合率,但是是不一定满足交换率的(目前我举不出具体例子,但是我是联想矩阵运算去理解的,不过可能不准确,感兴趣可以去查一下有没有具体例子)
所以一旦一个群满足交换律,这个群就是阿贝尔群,也叫交换群
交换群的概念在后面椭圆曲线的运算上会有比较重要的运用。一旦满足结合律和交换律,那么运算时的次序就没那么重要了,这是基于椭圆曲线的DH密钥交换的一个重要基础。
二次剩余
是数论里面解同余方程那里的一个比较重要的概念,我们有以下定义:
令整数a,p满足(a,p)= 1,若存在x使得
$ x^{2} \equiv a\mod p $
则称a为模p的二次剩余,否则称a为模p的二次非剩余
这里面还是有挺多概念的东西的,但是上面博客里面讲的十分详细,可以看一看
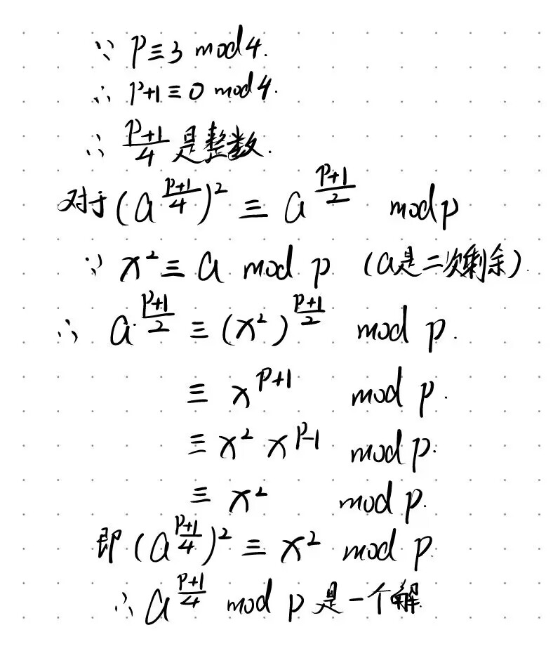
所以这里我只强调一个特殊情况下的求解,即$ p \equiv 3\mod 4 $
满足上面所说情况,且我们知道a是p的二次剩余(怎么验证是不是二次剩余可以看看那个网站里,讲的很详细,数论我没学完,怕讲不清楚),就可以用下图方法来求一个解(可以求出x的值)
我们可以验证一下(自己推了一下,字有点丑,流泪猫猫)
这里因为p+1是4的倍数,指数部分就是整数,所以会很好算。大家也可以试试自己推一下加深理解
至于其他的情况我还没学完(流泪猫猫头),拜托,数论太难了,但是那个网站里面真的很详细!可以仔细研读
二. 椭圆曲线入门
要研究椭圆曲线就要知道维尔特拉斯方程(Weierstrass),这个方程的形式挺复杂的,感兴趣可以去查一下,然后我们主要运用它的普通形式,即
$ y^{2} = x^{3} +ax +b $
大致图像如下
像什么曲线每个点是非奇异的(光滑的)这样的性质我就不强调了,这里先知道长什么样就行
椭圆曲线上的点加法
我们知道椭圆曲线长什么样子后,就会期望在上面做一些运算,而它确实也提供了点加法运算。其原理是
假设A=(x1,y1)B=(x2,y2)是曲线上的两个点
那么P + Q的结果,就是PQ连线与椭圆曲线的交点R‘关于x轴的对称点R,如下图
倘若是A + A,则我们考虑A点的切线,切线与椭圆曲线的交点R’关于x轴的对称点R即为结果,如下图
下面是一个具体的计算方法
单位元和逆元
我们知道了椭圆曲线上的点加法运算后,我们会期望它具备群属性,以便于我们研究,这就要找到一个单位元O,使得
$ P +O=P $
但我们会发现没有一个点是满足这个条件的,那么我们就规定一个无穷远处的抽象点为单位元O(可以想象一下,一个点和无穷远处点的连线与曲线的交点还是这个点,满足条件)。这个无穷远点可以看成在y轴的正(负)半轴的无穷远处。这就有了单位元了。
有了单位元后我们来找逆元,即存在-P使得
$ P +(-P)=O $
其实回顾一下点加法的定义,我们很容易就能找到逆元就是关于x轴对称的那个点
例如R=(x3,y3)那么逆元R’=(x3,-y3)
也可以想象一下,这两个点的连线就是交在无穷远处,满足定义。
到这里,椭圆曲线上的点加法满足了群的所以性质,所以满足椭圆曲线的所有点加上一个无穷大的虚数点O,就构成了一个群。实际是,这个群也是满足交换率的,而满足交换率的群我们称之为阿贝尔群。
然后我们真正研究的时候,其实会希望在一个有限域内去研究,特别是素数域,所有我们对方程取模,这样以后,我们研究的就是一些对称的点,而不是连续的线
取模后逆元那里就有点小区别因为-y = p - y mod p,所以在有限域上的逆元表示成 R’(x,p - y)
椭圆曲线构建离散对数问题(ECDLP)
对于一个给定的椭圆曲线E,考虑椭圆曲线上的两个元素P和T,DL问题就是找到整数d,使得
$ P+P+\dots+P =dP=T $
很多时候,这个d就是私钥(如在ECC加密体系里)
(d*P就是椭圆曲线上的标量乘法,不过理解上还是要当成点加法的重复进行)
很多时候,知道T来求d是十分困难的,相当于一个离散对数问题。这确保了椭圆曲线加密的安全性。
基于椭圆曲线的DH密钥交换
知道了椭圆曲线,我们要用来做一些和密码有关的事情
于是Alice和Bob协商做下面这些事
两个人并用分别用自己随机生成的整数a和b与P(公开)做标量乘法得到A(公开)和B(公开),并把得到的值分别传给对方。
Alice得到B并用自己一开始的那个随机数a与B做标量乘法,得到T,Bob同理。两人把得到的T作为共享密钥。
对于Alice:T = a (b P)
对于Bob: T = b (a P)
因为椭圆曲线是一个阿贝尔群,所以运算次序对结果不影响,所以两个人得到的T相同,这确保了交换的可行性
这个过程里面,外人只可能得到P、A和B(这三个是公开的),但是仅仅通过这三个是算不出a和b的(即算不出T),这确保了这个交换过程的安全性。
这样Alice和Bob就可以用这个联合密钥去加密一些东西
之后Alice和Bob进行了思考,他们认为,既然椭圆曲线方程已知,那干嘛还要传递y呀?(欸!我有一个好主意)于是他们觉得只传递x就可以了,以实现高效传递
事实上只传递x也确实是可行的,我们考虑把已知的x值代入曲线方程就可以得到 y2 = k mod p 的形式
其中k是带入x后的算出值,这就是一个二次剩余问题(数论的知识点),这样就是一个比较简单解决的问题(课本上这么说的,虽然在我看来还是很难),很容易就可以求出y。
但这里会有一个小问题,那就是如果数对(x,y)满足上面那个式子,那么显然的(x,p - y)也是满足的,所以实际生活中,我们在传递x坐标时,会附带传递一个指定y的奇偶性的标志位,以此来达到区分到底是哪个点(感兴趣可以查一下,挺复杂的,没看懂)
三. 题目
Efficient Exchange
题目:
E: Y2=X3 +497X+1768 mod 9739
Calculate the shared secret after Alice sends you x(QA)=4726, with your secret integer nB=6534.
Use the file to decode the flag decrypt.py
{'iv': 'cd9da9f1c60925922377ea952afc212c', 'encrypted_flag': 'febcbe3a3414a730b125931dccf912d2239f3e969c4334d95ed0ec86f6449ad8'}
1 | from Crypto.Cipher import AES |
考点:二次剩余,AES解密,ECDH的高效传递
这里主要考察对ECDH的高效传递的理解,Alice和Bob认为,椭圆曲线方程已知,那干嘛还要传递y呀?(欸!我有一个好主意)于是他们觉得只传递x就可以了。于是Alice给我发了一个x值,希望我能够以此知道共享密钥。并且Alice用共享密钥通过AES加密了flag
事实上只传递x也确实是可行的,我们考虑把已知的x值代入曲线方程就可以得到 y2 = k mod p 的形式
其中k是带入x后的算出值,这就是一个二次剩余问题(数论的知识点),这样就是一个比较简单解决的问题(课本上这么说的,虽然在我看来还是很难),很容易就可以求出y
但这里会有一个小问题,那就是如果数对(x,y)满足上面那个式子,那么显然的(x,p - y)也是满足的,所以实际生活中,我们在传递x坐标时,会附带传递一个指定y的奇偶性的标志位,以此来达到区分到底是哪个点(感兴趣可以查一下,挺复杂的,没看懂)
不过这道题会相对简单,因为我们最后只用x来做文章,所以y的值我们不关心,那么对于同一个x,即使两个人最后算出来的y不一样(一个是y,一个是p-y),经过运算后也不会影响x的值(可能画个图会好理解一点,两个对称的点,画斜率,与曲线的交点的x还是一样的),所以我们任意求出一个y来进行计算就行
现在来进行y的计算,题目给了提示p = 3 mod 4,这就可以运用二次剩余的知识点来解决,下面是原理图
这里直接用
$ y = a^\frac{p+1}{4}\mod p $
当然你也可以直接遍历p(遍历完总能找到一个解),因为这题p确实不大,两个办法都行,都可以求p(我一开始用的第二个,觉得不是预期解法才去查的第一个),求出y了就没什么难度了,套那个解密文件就行。
1 | # sage |
flag:crypto{3ff1c1ent_k3y_3xch4ng3}
四. 总结
到这里,我们对椭圆曲线就有了简单认识,但其实还并没有接触到真正的一些加密算法,比如说ECC(但是原理懂了这个也就很好理解了,所以问题不大)。而且椭圆曲线加密也不是绝对安全的,后面还要学习各种攻击方式(像之前我瞥到的光滑数攻击),总的来说,道阻且长。













